<{在线配资服务}>黄金分割线原理、画法、公式及运用大小周期关系与波段高低点选择{在线配资服务}>
黄金分割线的原理、画法、计算公式及运用
大小周期的关系、如何选择波段的高低点
一、黄金分割线的原理
股票、期货、外汇等市场的价格总是不停地涨跌波动,波动越大,交易机会越大,交易主要是获取市场波动的差价(价值投资除外)。价格很少直线波动,通常是涨跌交替运动,价格涨跌后形成许多涨跌波段,前后相邻的涨跌波段(或者同级别的波浪)的幅度之间存在黄金分割比例关系。黄金分割线、百分比线、通道线、趋势线都属于切线黄金分割线原理、画法、公式及运用大小周期关系与波段高低点选择,主要用于判断市场的支撑位、压力位。
黄金分割线属于水平切线,主要用来判断涨跌空间的支撑、压力。上涨黄金分割线容易出现压力期货技术之黄金分割及进场点位,回调黄金分割线容易出现支撑。操作策略为,先预判大方向,如果是多头市场,则在回调黄金分割线获得支撑后做多(如小周期做了空则平空止盈),避免追涨;如果是空头市场,则在反弹黄金分割线出现压力后做空(如小周期做了多则平多止盈),避免杀跌。
当价格经过一波下跌后开始上涨,就把下跌波段的幅度拿来黄金分割,预判将来上涨的幅度(压力位,平多或者开空)。
当价格经过一波上涨后开始下跌,就把上涨波段的幅度拿来黄金分割,预判将来下跌的幅度(支撑位,平空或者开多)。
波段转账点容易发生在黄金分割线上,黄金分割线主要适用于回档入场、博拐点,止损小,盈亏比高。
二、黄金分割线的画法
1、文华财经、博易大师、同花顺、通达信等交易软件都有画线工具,找到里面的黄金线画线按钮即可。本文以文华财经软件、期货合约举例。点工具栏上的 “...”、“画线工具箱”、在“黄金率”前面打勾,黄金分割线画线工具就出现在工具栏了。还可以调整画线颜色、粗细。其他画线工具类似。


2、打开K线界面,点一下工具栏上的“黄金率”按钮,鼠标变成铅笔形状期货技术之黄金分割及进场点位,先点一下波段低点(或高点),再点波段的高点(或低点),黄金分割线就自动画好了。
3、调整黄金分割线起点、终点的值与波段高低点的价格一致。左键点一下任意一条黄金分割线(变成黄色),起点、终点就分别出现小圆圈,再对准小圆圈点右键,输入波段高低点的价格,使黄金分割线的起点、终点与波段高低点的价格一致。


三、黄金分割线的计算公式
黄金分割线是用前面一个波段的幅度来预判后面一个波段的幅度,因此黄金分割线的画法、计算公式分两种情况。
第一种,上涨黄金分割线。
1、上涨黄金分割线画法:
前面一个波段是下跌,就把下跌波段的幅度拿来黄金分割,预判将来上涨的幅度。从下向上画,即从前面下跌波段的终点(下跌波段的最低价)画到下跌波段的起点(下跌波段的最高价)。

2、上涨黄金分割线计算公式:
某个上涨黄金分割线的值 = 前面下跌波段的低点 + 前面下跌波段的幅度(下跌波段的最高价 – 下跌波段的最低价)*某个黄金分割率(0.191、0.382、0.5、0.618、0.809、1.0、1.191、1.382、1.5、1.618、1.809、2.0等)。
3、上涨黄金分割线举例:

上图显示苹果1910合约从10190下跌到8801开始反弹,当反弹开始时,就画前面下跌波段的黄金分割线,从前面下跌波段(10190--8801)的低点(8801)画到高点(10190),从下到上依次显示黄金分割线起点0.000(8801),0.191(9066),0.382(9332),0.5(9496),0.618(9659),0.809(9925),黄金分割线终点1.000(10190),因截图原因,未显示1.0以后的黄金分割线(1.191、1.382、1.5、1.618、1.809、2.0等,放大缩小K线会显示)。
上图黄金分割线0.191的值是9066 = 波段低点8801 + 波段幅度(波段最高价10190 - 波段最低价8801)1389*该黄金分割率0.191
上图黄金分割线0.382的值是9332 = 波段低点8801 + 波段幅度(波段最高价10190 - 波段最低价8801)1389*该黄金分割率0.382
上图黄金分割线0.500的值是9496 = 波段低点8801 + 波段幅度(波段最高价10190 - 波段最低价8801)1389*该黄金分割率0.500
(其它黄金分割线的值以此类推)
第二种,下跌黄金分割线。
1、下跌黄金分割线画法:
前面一个波段是上涨黄金分割线原理、画法、公式及运用大小周期关系与波段高低点选择,就把上涨波段的幅度拿来黄金分割,预判将来下跌的幅度。从上向下画,即从前面上涨波段的终点(上涨波段的最高价)画到上涨波段的起点(上涨波段的最低价)。
2、下跌黄金分割线计算公式:
某个下跌黄金分割线的值 = 前面上涨波段的高点 - 前面上涨波段的幅度(上涨波段的最高价 – 上涨波段的最低价)*某个黄金分割率(0.191、0.382、0.5、0.618、0.809、1.0、1.191、1.382、1.5、1.618、1.809、2.0等)。
3、下跌黄金分割线举例:

上图显示苹果1910合约从7585上涨到10190开始回调,当回调开始时,就画前面上涨波段的黄金分割线,从前面上涨波段(7585--10190)的高点(10190)画到低点(7585),从上到下依次显示黄金分割线起点0.000(10190)黄金分割线原理、画法、公式及运用大小周期关系与波段高低点选择,0.191(9692),0.382(9195),0.5(8888),0.618(8580),0.809(8083),黄金分割线终点1.000(7585),因截图原因,未显示1.0以后的黄金分割线(1.191、1.382、1.5、1.618、1.809、2.0等,放大缩小K线会显示)。
上图黄金分割线0.191的值是9692 = 波段高点10190 - 波段幅度(波段最高价10190 - 波段最低价7585)2605*该黄金分割率0.191
上图黄金分割线0.382的值是9195 = 波段高点10190 - 波段幅度(波段最高价10190 - 波段最低价7585)2605*该黄金分割率0.382
上图黄金分割线0.500的值是8888 = 波段高点10190 - 波段幅度(波段最高价10190 - 波段最低价7585)2605*该黄金分割率0.500
(其它黄金分割线的值以此类推)
四、黄金分割线的运用
1、开多(或者平空):

如果判断大趋势向上,不追涨,等回调后开多(相当于1浪不追,等2浪回调结束后,博3浪)。当回调开始时,画前面上涨波段的回调黄金分割线,预判将来回调到某个黄金分割线止跌时开多(如果某个黄金分割线正好有均线,则胜率更高,相当于回踩均线做多),如小周期摸顶持有空单,则平空。
根据经验,有两种方法,一是左侧交易,提前按照某个黄金分割线价格挂单(错了止损,如未止损基本是拐点,与波段低点误差很小,强势回调一般0.382,多数情况0.5或者0.618,弱势则0.809);二是右侧交易,观察哪个黄金线止跌后再开多(或者平空)。
2、开空(或者平多):
如果判断大趋势向下,不杀跌,等反弹后开空(相当于A浪不追,等B浪反弹结束后,博C浪)。当反弹开始时,画前面下跌波段的反弹黄金分割线,预判将来反弹到某个黄金分割线滞涨时开空(如果某个黄金分割线正好有均线,则胜率更高,相当于反抽均线做空),如小周期抄底持有多单,则平多。
根据经验,有两种方法,一是左侧交易,提前按照某个黄金分割线价格挂单(错了止损,如未止损基本是拐点,与波段高点误差很小,弱势反弹一般0.382,多数情况0.5或者0.618,强势则0.809);二是右侧交易,观察哪个黄金线滞涨后再开空(或者平多)。
五、大小周期的关系、如何选择波段的高低点
传统理论认为看大做小,大周期看方向,小周期入场,小周期服从大周期,这个说法的前提是大周期趋势会一直延续。实际走势具有不确定性,未来大周期趋势是延续还是震荡、转折,走完了才知道,所以简单按照大周期方向操作一样存在不确定性。
周期的本质是时间,时间是从小到大的,周期也是如此。价格是连续波动的,周期是人为按照不同时间单位对连续波动的价格进行的统计、划分,某个周期的K线就是该时间单位的开盘价、收盘价、最高价、最低价。
大小周期的关系唯一确定的是,先有小周期,后有大周期,小周期走完了形成大周期;大小周期不确定的关系是,不知道小周期如何形成大周期,所以未来具有不确定性(比如每天第一根1分钟K线与5分钟、15分钟、30分钟、60分钟到日线都是一样的。同理,每周一的日K线与周K线是一样的。期货多数品种一天交易是5小时45分,因10:15-10:30停盘,故14:16-15:00最后一个60分钟实际不足,每天两根2小时K线,第二根也不足。每天两根4小时K线,第二根实际不足2小时,所以4小时K线失真。实盘操作时,在1分钟图上标注出60分钟分界线,加上软件自带的日线分界线,看1分钟K线也就知道其他大周期K线啥样子期货技术之黄金分割及进场点位,盘中不一定要来回切换)。
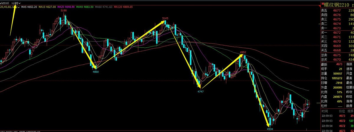
某个周期K线什么样子要等该周期走完才知道,因此大周期趋势如何变化是体现在小周期上的,小周期可以服从大周期,也可以改变大周期,从这个角度来说,也可以看小做大(看小周期入场、预判大周期方向,观察小周期如何形成大周期)。从实盘操作来说,画黄金分割线时,通常60分以下的各个周期都选择一样的波段高低点,不同周期区别只是K线数量不同而已。举例如下:

螺纹2210合约 60分钟波段

螺纹2210合约 30分钟波段

螺纹2210合约15分钟波段

螺纹2210合约5分钟波段
说明:黄金分割线带有主观预判性,属于左侧交易。任何方法、信号都是概率,不存在100%正确。交易盈利靠未来的走势,未来具有不确定性,但具有概率性,当出现大概率的信号的时候就开仓博弈,错了止损即可。以上为个人经验总结,仅供参考,据此交易风险自担。
(2022年5月14日修改)









